
Sobel算子边缘检测

1.原理 Sobel算子是一离散性差分算子,用来运算图像亮度函数的梯度的近似值。索伯算子的公式包含两个3x3的矩阵,分别为横向及纵向,将其与图像作平面卷积,即可分别得出横向及纵向的亮度差分近似值。如果…

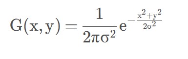
灰度图像高斯滤波

1.原理 高斯滤波是一种线性平滑滤波,适用于消除高斯噪声。高斯滤波对整幅图像进行加权平均的过程,每一个像素点的值,都由其本身和邻域内的其他像素值经过加权平均后得到,只不过在高斯滤波中,会将中心点的权重…

C语言读写单通道BMP灰度图像
二叉搜索树实现

1.BMP格式 2.文件读取思路(单通道) bmp头部信息54字节; 1.读取文件头(14 Byte) 2.读取文件头信息(40 Byte) 3.解析图像大小(宽度x高度),读取数据偏移量; 4.分配…
二叉搜索树 二叉搜索树(BST,Binary Search Tree),也称二叉排序树或二叉查找树。 二叉搜索树:一棵二叉树,可以为空;如果不为空,满足以下性质: 非空左子树的所有键值小于其根结点的键…

C++实现常用排序算法

排序 1.冒泡排序 冒泡排序 bubble sort通过连续地比较与交换相邻元素实现排序。这个过程就像气泡从底部升到顶部一样,因此得名冒泡排序。 时间复杂度为O(n^2) 2.选择排序 选择排序 se…

求解线性方程组-迭代法
求解线性方程组-高斯列主元消去

1.雅可比(jacobi)迭代 1.1 迭代格式 $$$$ 1.2 例题 $$ $$ 2.高斯赛德尔迭代法 2.1 迭代格式 $$$$ 高斯赛德尔迭代法在雅可比迭代中使用刚刚迭代出来的值。 3.2迭代…
高斯列主元消去 高斯(Gauss)列主元消去法:对给定的n阶线性方程组A x = b,首先进行列主元消元过程,回代,最后得到方程的解。 代码 C/C++代码: #include <cmath&g…

C/C++自动化编译工具
1.Makefile 1.1 介绍 Makefile是Unix和Linux系统中用来自动化编译过程的一种工具。Makefile定义了一组规则,描述了如何生成目标文件。 优点: 简单:如果你只在一个Un…